
Understanding The 2024 GMAT Exam Changes
Listen to a GMAT expert explain how the GMAT has changed in recent years. Note: The "GMAT Focus Edition" is now simply called the GMAT.

Preparing for the GMAT Focus
Learn how to approach GMAT study in a focused, organized way. Note: The "GMAT Focus Edition" is now simply called the GMAT.

GMAT Quant - Ten Points to Remember
Here are ten essential GMAT Quant tips with examples, helping you boost your score on test day.

GMAT Preparation: How to Plan Your Time and Strategy
Learn how to plan for GMAT preparation, emphasizing that the time needed varies for each person and providing guidance on study schedules and key steps in the process.


GMAT Official Practice Test 1 Walkthrough - Data Insights Section
A complete walkthrough of the Data Insights section from GMAT Focus Official Practice Test 1. Learn the strategies and mental shortcuts to ace every question type.


Course

GMAT Official Practice Test 1 Walkthrough - Quantitative Reasoning Section
A complete walkthrough of the Quantitative Reasoning section from GMAT Focus Official Practice Test 1. Learn strategies and math shortcuts to ace every question type.

15 Challenging GMAT Quant Questions
Practice for the Quantitative Reasoning section of the GMAT with these questions.


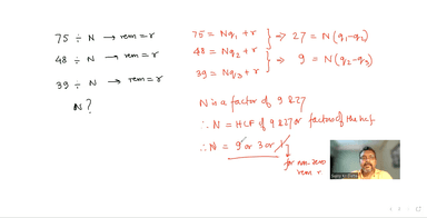
Number Properties 5
GMAT Number properties 5 of 10


Number Properties 10
GMAT number properties 10 of 10


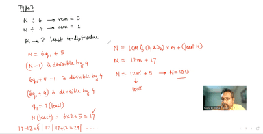
Number Properties 4
GMAT Number properties 4 of 10


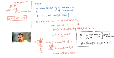
Number Properties 1
GMAT - Number properties 1 of 10


Number Properties 7
GMAT number properties 7 of 10


Number Properties 8
GMAT Number properties 8 of 10


Number Properties 2
GMAT Number properties 2 of 10


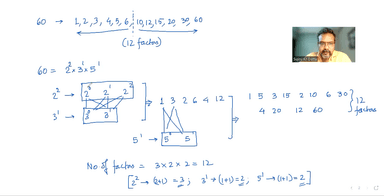
Number Properties 3
GMAT Number properties 3 of 10


Number Properties 6
GMAT Number properties 6 of 10


Number Properties 9
GMAT Number properties 9 of 10
