
Try Leland+ for free
Get 3 days of unlimited access to a library of exclusive resources
900+ sample essays, resumes & more
500+ hours of video guides & walkthroughs
Application strategies from Leland experts
Tools to help you network & nail interviews
Then $9.91/mo, billed yearly. Cancel anytime.
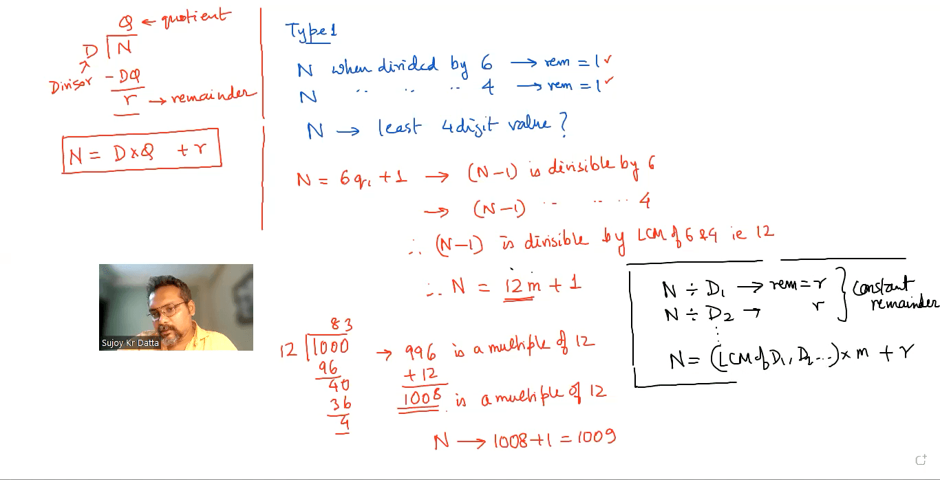
Number Properties 6
1 view
GMAT Number properties 6 of 10
Guide